|
|
|
|||||||||||||||||||
| Plastic Deformation | |||||||||||||||||||||
| · Through a rotation of the axes, the stress tensor may be diagonalized. This implies that shear stresses on the element have been reduced to zero. The axes are then the Principal axes and the stress tensor is the Principal stress tensor. | |||||||||||||||||||||
![]() |
|||||||||||||||||||||
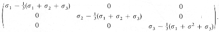
| · The principal axes stress tensor may be separated into a "hydrostatic" and a "reduced" stress tensor, a procedure that permits modeling of the yield process. The principal axes are labeled so: σ1 >σ2 >σ3 | |||||||||||||||||||||
| ·
Hydrostatic
Stresses:
All diagonal elements have the same value · Reduced
Stresses:
|
|||||||||||||||||||||
![]() |
|||||||||||||||||||||
![]() |
|||||||||||||||||||||