Menu
Prev
Next
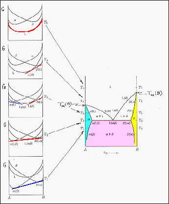
Phase Diagrams
The Eutectic Diagram

· Alloys may have components with a limited solid state solubility. 
· For the Eutectic phase diagram shown, the components A, B have limited solid state solubility.
· The temperature T2 is the Eutectic Invariant Temperature at which
three phases are in mutual equilibrium. 

· At T2 the Gibbs phase rule at constant pressure for C = 2, P = 3 gives: Fp = 0
i.e. Phase compositions are fixed.