Menu

Prev

Next

The Structure of Solids

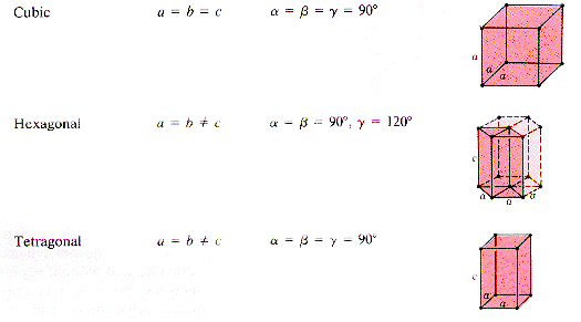
· Side and angle relationships for the cubic, hexagonal, and tetragonal lattices are shown below.

From: Callister, "Materials Science & Engineering," Wiley (1997)