Menu

Prev

Next

Mechanical Properties

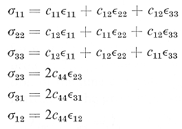
· For a cubic crystal, the 1,2,3 axes are equivalent and only three independent elastic constants are required. The stiffness matrix and the form of Hooke's law is given below